特別な平行四辺形

6年 ago

長方形、ひし形、正方形はすべて平行四辺形…

分数型

6年 ago

このような文字式の分数型は、多くの生徒が…

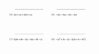
文字式の計算②

6年 ago

文字式の計算は数学においてとても大切です…

計算の基礎①

6年 ago

マイナスを含む計算の基礎です。 慣れるま…

変化の割合

6年 ago

変化の割合とは1次関数の傾きと同じです。…

多角形の内角・外角

6年 ago

多角形の内角の和、外角の和は必ず覚えて、…

おうぎ形

6年 ago

おうぎ形とは円の一部です。円自体が多彩な…

平方根を利用した解き方

6年 ago

2次方程式の計算でよく使うのは因数分解を…

座標の求め方

6年 ago

1次関数の式がわかっている場合、計算によ…

文字式の計算①

6年 ago

数学では今後文字を使った計算をたくさんし…